Optimalizácia nastavení klimatizácie po spustení
Cieľom článku je poukázať na rýchle možnosti vyhodnotenia psychrometrických meraní a na ich štatistické spracovanie v aplikácii MS EXCEL. Na základe reálnych meraní teploty a relatívnej vlhkosti prostredia sa následne vykonal prepočet na entalpiu. Výsledné hodnoty sa vyhodnotili pomocou štatistickej metodiky Kuder Richardson KR20 [1] a výsledky sa spracovali vo forme grafov.
![]() |
Poznáte výhody Klubu ASB? Stačí bezplatná registrácia a získate sektorové analýzy slovenského stavebníctva s rebríčkami firiem ⟶ |
V riešenom prípade sa použila zostavná jednotka s rekuperačným výmenníkom, ohrievačom, chladičom a parným vlhčením. Distribúcia vzduchu sa zabezpečovala pomocou veľkoplošných výustiek. Požadované parametre prostredia definovali teplota na úrovni 22 až 24 °C a vlhkosť v priestore na úrovni 35 až 55 %.
Teplota vzduchu privádzaného do klimatizovaného priestoru (SUP) bola v daných podmienkach 21,5 °C. Vplyvom vnútorných tepelných ziskov dochádzalo k jej zvýšeniu na 23 °C pri 42,3 % RH. Na meranie psychrometrických parametrov sa použili datalogery TESTO 175 H1, ktoré boli osadené na štyroch miestach v priestore.
Výsledky sa odčítavali v 40-minútových intervaloch. Na meranie parametrov vonkajšieho vzduchu bol na severnej strane budovy osadený dataloger TESTO H1. Osadeniu datalogerov treba venovať zvýšenú pozornosť, aby nedošlo k skresleniu meraných hodnôt.
Nemali by byť pri zdroji tepla, vlhkosti, v prievane a podobne. Vzhľadom na skutočnosť, že nedochádzalo k výkyvom vnútorných tepelných ziskov, sa časový interval vyhodnotil ako primeraný na zachytenie priebehu dennej zmeny.
Okrem psychrometrických meraní teploty a relatívnej vlhkosti sa realizovalo aj meranie rýchlosti prúdenia vzduchu v miestach pobytu a pohybu pracovníkov vo výške 1,5 a 1,75 m nad podlahou. Z pohľadu vyhlášky MZ SR č. 448/2007 Z. z. [2] možno prácu zaradiť do kategórie 1b, t. j. ide o ľahké strojné opracovanie s metabolickým výdajom qM 81 – 105 W/m2, M 146 – 190 W.
V letných podmienkach sú v tabuľke 2 vyhlášky [2] optimálne podmienky definované teplotou v rozsahu 22 až 25 °C pri relatívnej vlhkosti 30 až 70 % a rýchlosti do 0,3 m/s.
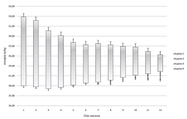
Namerané hodnoty boli spracované v tabuľkovej forme s následným prepočtom na špecifickú vlhkosť x (kg/kgsv) a entalpiu H (J/kgsv), ktorá je vo všeobecnosti komplexnejším ukazovateľom kvality vnútorného prostredia z pohľadu psychrometrie. Vypočítané hodnoty entalpie boli následne spracované grafickou formou.
Z grafu na obr. 1 je zrejmé, že na začiatku zmeny nie sú tepelnovlhkostné pomery v priestore ustálené, keďže vzduchotechnická jednotka prechádza po ukončení zmeny do útlmového režimu a v priestore dochádza vplyvom pasívnych ziskov k nastoleniu novej rovnováhy.
S rozbehom pracovnej zmeny sa vzduch v priestore vymieňa a nastoľuje sa nová kvalita, ktorá je rovnaká v celom klimatizovanom priestore.

Z pohľadu kvality vnútorného prostredia má reálnu výpovednú hodnotu Fangerov diagram (ISO EN 13770 [3]), ktorý okrem sledovaných parametrov teploty a relatívnej vlhkosti zohľadňuje aj rýchlosť prúdenia vzduchu v pocitovej oblasti, triedu práce a oblečenie.
Štatistické vyhodnotenie je skôr vhodné v prípade menších aplikácií, ak sa nová rovnováha priestoru ustáli v krátkom čase. Môžeme ho aplikovať, ak nepoznáme všetky vstupné parametre, ktoré ovplyvňujú kvalitu vnútorného prostredia a chceme postupovať metodicky.
Zohľadniť treba napríklad vnútorné tepelné zisky, ktoré sú v čase premenlivé. Na dokreslenie celkového obrazu sa merané teploty z jednotlivých snímačov spracovali grafickou formou a doplnili vonkajšou teplotou. Teplota vzduchu bola v intervale 22 až 24 °C, čo je stále v optimálnom rámci, následne sa mierne zvýšila na hodnotu približne 23 °C.
Vonkajšia teplota počas merania mierne vystúpila na približne 16 °C. Pri štatistickom hodnotení meraných výsledkov je dôležité zvoliť vhodné kritérium. V sledovanom prípade sa za hodnotiace kritérium zvolila entalpia, teda výpočtom určená hodnota z nameraných hodnôt.
Za pravdivostné kritérium sa zvolil rozsah entalpie medzi 40 až 50 kJ/kgsv Ak bola počítaná hodnota v zvolenom rámci, bola jej priradená hodnota 1 (Boolean TRUE). Ak nie, bola jej priradená hodnota 0 (Boolean FALSE).
Výsledky boli spracované formou tabuľky logických hodnôt (tab. 2). Na výsledky zobrazené v tab. 2 sa následne aplikoval štatistický test Kuder Richardson KR20 [1]. KR20 test sa používa na určenie vnútornej konzistencie meraní s možnosťou dichotomického výberu podľa tejto rovnice:
kde
k je počet meracích miest,
pj – percento výsledkov v požadovanom rámci,
qj – percento výsledkov mimo požadovaného rámca,
δ2 – variácia celkového skóre všetkých meraných hodnôt (VARP).
Výsledok je teda vecou voľby z dvoch možností: pravda/nepravda. Vo výpočte sa aplikovali tieto hodnoty:
- p: 0,75; 1,00; 0,42; 042;
- q: 0,25; 0,00; 0,58; 0,58;
- pq: 0,19; 0,00; 0,24; 0,24;
- k: 4,00;
- ∑pq: 0,67;
- VAR: 1,24;
- ρKR20: 0,61.
Výsledok testu ρKR20 môže byť v rozsahu 0 až 1. Výsledná hodnota 0,61 vyjadruje pomerne vysokú spoľahlivosť zistenej hodnoty sledovaného parametra, t. j. entalpie. Inými slovami, nastavenie parametrov privádzaného vzduchu je vhodné na dosiahnutie požadovanej kvality vzduchu v klimatizovanom priestore.
Záver
Pri návrhu a hlavne pri spustení vzduchotechnickej jednotky v klimatizovanom priestore je okrem tepelných a vlhkostných záťaží potrebné poznať aj charakter samotného procesu. Softvérové vybavenie jednotiek umožní relatívne rýchle a presné nastavenie požadovaných parametrov, ktoré určil projektant.
Následná optimalizácia nastavení slúži na dosiahnutie požadovanej kvality vnútorného prostredia budovy. Kombinácia nereálnych očakávaní a ľudského faktora v kontexte so subjektívnym hodnotením stavu vnútorného prostredia je nočnou morou realizátora.
Aplikácia štatistického testu KR20 formou EXCEL tabuľky ho však môže pomerne rýchlo usmerniť. Dôležité je poznamenať, že KR20 test nie je primárne určený na definovanie kvality vnútorného prostredia, skôr ide o jeho možnú alternatívnu aplikáciu.
Jozef Vojtaššák pôsobí v spoločnosti Lidl Slovenská republika, v. o. s., Zuzana Straková a Mária Frťalová pôsobia na Katedre TZB SvF STU v Bratislave.
Recenzoval: Ing. Daniel Čurka, PhD.
Literatúra:
1. Dostupné online na http://www.real-statistics.com/reliability/internal-consistency-reliability/kuder-richardson-formula-20/.
2. Vyhláška MZ SR č. 448/2007 Z. z. o podrobnostiach o faktoroch práce a pracovného prostredia vo vzťahu ku kategorizácii prác z hľadiska zdravotných rizík a o náležitostiach návrhu na zaradenie prác do kategórií.
3. STN EN ISO 7730:2005 Ergonómia tepelného prostredia. Analytické určovanie a interpretácia tepelnej pohody pomocou výpočtu ukazovateľov PMV a PPD a kritérií miestnej tepelnej pohody (ISO 7730: 2005), ICS 13.180.
Článok bol uverejnený v časopise TZB Haustechnik 5/2019.











